繁体版
|
ENGLISH
TEL:+886-3-658-0646
关于鑫光
企业简介
企业文化
新闻中心
公司新闻
产品中心
半导体化学原料
半导体材料
工程塑料
应用案例
一般工业热阻隔
干式自润无尘科技
联系我们
联系方式
留言栏
产品中心
PRODUCTS AND SERVICES
您当前页面:
首页
>
产品中心
>
产品中心
半导体化…
/
半导体材…
/
工程塑料
/
电子级琥珀酸
电子级磺胺酸
电子级山梨酸
电子级亚磷酸
电子级聚丙烯酸(PAA)
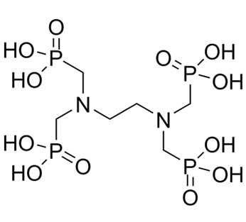
电子级乙烯二胺四(亚甲基膦酸)(EDTMPA)
电子级二乙烯三胺五(亚甲基膦酸)(DTPMPA)
电子级 1-羟基乙叉-1,1-二膦酸(HEDP)
电子级氨三甲叉膦酸(ATMP)
DuPont Vespel
DuPont Vespel
抛光研磨垫
硅晶圆
环丁砜
盐酸
过氯酸
硫酸
硝酸铵铈