·±̀å°æ
|
¼̣̀å°æ
TEL£º+886-3-658-0646
About
About us
Culture
News
Company news
Products
Semiconductor Chemicals
Semiconductor materials
Engineering plastics
Case
General Industrial thermal insulation
Oil Free Self lubrication technology
Contact us
Contact
Message
Products
PRODUCTS AND SERVICES
Location£º
Home
>
Products
>
Products
Semicon¡
/
Semicon¡
/
Enginee¡
/
Electronic Grade Succinic Acid
Electronic Grade Sulfamic Acid
Electronic Grade Sorbic Acid
Electronic Grade Phosphorous acid
Electronic Grade Polyacrylic Acid (PAA)
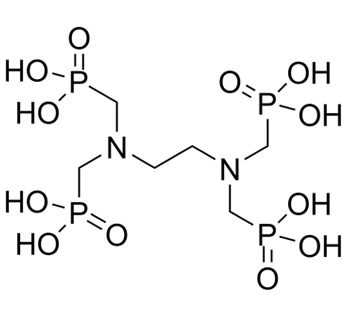
Electronic Grade Ethylene Diamine Tetra (Methylene Phosphonic Acid) EDTMPA
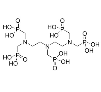
Electronic Grade Diethylene Triamine Penta (Methylene Phosphonic Acid) (DTPMPA)
Electronic Grade 1-Hydroxy Ethylidene-1,1-Diphosphonic Acid (HEDP)
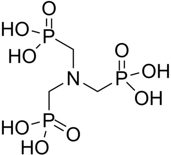
Electronic Grade Amino Trimethylene Phosphonic Acid (ATMP)
DuPont Vespel
DuPont Vespel
Polish Pad (Toray)
Silicon Wafer
Sulfolane
Hydrochloric Acid
Perchloric Acid
Sulfuric Acid
Ammonium Cerium Nitrate