簡體版
|
ENGLISH
TEL:+886-3-658-0646
關於鑫光
企業簡介
企業文化
新聞中心
公司新聞
產品中心
半導體化學原料
半導體材料
工程塑料
應用案例
一般工業熱阻隔
乾式自潤無塵科技
聯繫我們
聯繫方式
留言欄
產品中心
PRODUCTS AND SERVICES
您當前頁面:
首頁
>
產品中心
>
半導體化學原料
產品中心
半導體化…
/
半導體材…
/
工程塑料
/
電子級琥珀酸
電子級磺胺酸
電子級山梨酸
電子級亞磷酸
電子級聚丙烯酸(PAA)
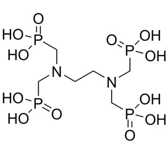
電子級乙烯二胺四(亞甲基膦酸)(EDTMPA)
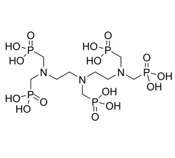
電子級二乙烯三胺五(亞甲基膦酸)(DTPMPA)
電子級 1-羥基乙叉-1,1-二膦酸(HEDP)
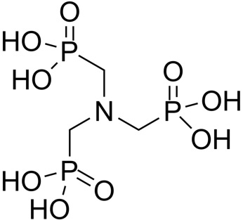
電子級氨三甲叉膦酸(ATMP)
環丁碸
鹽酸
過氯酸
硫酸
硝酸銨鈰